Abstract
Background: Patients with chronic lymphocytic leukemia (CLL) are known to have a suboptimal immune response of both humoral and cellular arms. Recently, a BNT162b2 mRNA COVID-19 vaccine was introduced with a high efficacy of 95% in immunocompetent individuals. Approximately half of the patients with CLL fail to mount a humoral response to the vaccine, as detected by anti-spike antibodies. Currently, there is no data available regarding T-cell immune responses following the vaccine of these patients.
Aim of the study: To investigate T-cell response determined by interferon gamma (IFNγ) secretion in patients with CLL following BNT162b mRNA Covid-19 vaccine, in comparison with serologic response.
Methods: CLL patients from 3 medical centers in Israel were included in the study. All patients received two 30-μg doses of BNT162b2 vaccine (Pfizer), administered intramuscularly 3 weeks apart. For evaluation of SARS-CoV-2 Spike-specific T-cell responses, blood samples were stimulated ex-vivo with Spike protein and secreted IFNγ was quantified (ELISA DuoSet, R&D Systems, Minneapolis, Minnesota, USA). T-cell immune response was considered to be positive for values above 25 pg/ml of Spike-specific response. T-cell subpopulations were characterized by flow cytometry (CD3, CD4, CD8). Anti-spike antibody tests were performed using the Architect AdviseDx SARS-CoV-2 IgG II (Abbot, Lake Forest, Illinois, USA). Statistical analysis was performed using Mann-Whitney test for continuous variables while the Wald Chi-square test was used for comparing categorical variables.
Results: 83 patients with CLL were tested for T-cell response. Blood samples were collected after a median time of 139 days post administration of the second dose of vaccine (IQ range 134-152). Out of 83 patients, 68 were eligible for the analysis (with positive internal control). Median age of the cohort was 68 years (56-72); and 44 (65%) were males. 19 (28%) patients were treatment-naïve, most of whom were Binet stage A or B. 31 (46%) patients were on therapy: 17 with a BTK-inhibitor, and 13 with a venetoclax-based regimen. 29 (42%) patients were previously treated with anti-CD20, 13 of whom in the 12 months period prior to vaccination.
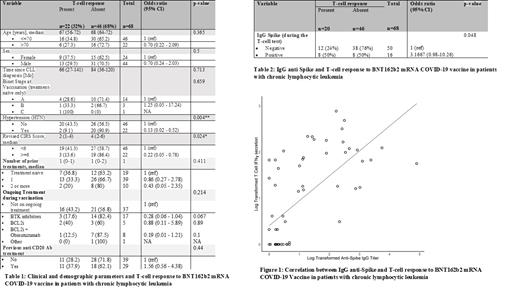
T cell immune response to the vaccine was evident in 22 (32%) patients. CIRS Score>6 and specifically hypertension were statistically significantly associated with a lower T-cell response (univariate analysis, p-value<0.05). Variables that were associated with the development of T-cell response were presence of del(13q), IgM ≥ 40 mg/dL, and IgA ≥ 80 mg/dL (p-value 0.05-0.1). There was no significant difference with regards to age, gender, other CLL-specific prognostic markers, treatment, and T-cell subpopulation distribution according to flow cytometry (Table 1).
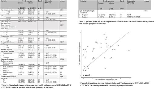
The presence of T-cell response highly correlated with both the detection of anti-spike IgG antibodies following the second dose (p=0.0239) and at the time of T-cell testing (n=66, p=0.048, Table 2). While 50% of patients who tested positive for anti-spike IgG antibodies also developed positive T-cell response, only 17% of patients who did not develop T-cell response, tested positive for anti-spike antibodies. Importantly, 24% of the patients who tested negative for anti-spike IgG antibodies, developed positive T cell response. Moreover, the level of the T-cell response (log transformed) correlated linearly with (log transformed) anti-spike IgG titer (adjusted r=0.26 and p =0.026 according to Pearson correlation, Figure 1).
Conclusion: We show that cellular immune response to the BNT162b2 mRNA COVID-19 vaccine, is blunted in most CLL patients and that there is a correlation between T-cell response and serologic response to the vaccine. These results need to be validated in a larger cohort.
Itchaki: AbbVie: Consultancy, Honoraria, Research Funding; Janssen: Consultancy, Honoraria, Research Funding. Benjamini: Janssen: Consultancy, Honoraria, Research Funding; AbbVie: Consultancy, Honoraria, Research Funding. Tadmor: AbbVie: Consultancy, Honoraria, Research Funding; Janssen: Consultancy, Honoraria, Research Funding.

This feature is available to Subscribers Only
Sign In or Create an Account Close Modal